Menu
News
APA-OTS
Social
Best
Useletter
Visual RS
Virtuelle Finanzmarktmesse
3. Virtuelle Messe Gold & Silber
2. Virtuelle Messe Gold & Silber
Roadshow & Virtuelle Messe 30.9.2015
Virtuelle Messe Gold & Silber
Visual Runplugged
Buwog/Immofinanz
S Immo
AT&S
GBs
Awards
Smeil Award
BAA
Hall of Fame
Number One 2016
Number One 2015
Number One 2014
UPside award
Fach-PDF
Fachhefte
CD wikifolio
TV
CD & friends
openingbell.eu
photaq.com
Mashup
runplugged.com
gruessen.net
Impressum
Fintech Finessen (B2C-Showcase hier)
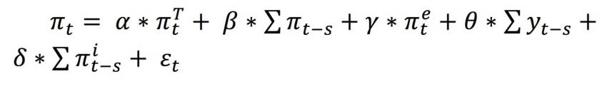
Phillips Curve Formel